So upon my call last week for quadratic activities, I got a ton of resources in my inbox. I’ll post them soon after I’ve had a chance to look through them. Until then, here’s something I cooked up that could go several different directions, depending on your students’ needs.
Artifact
This terribly grainy video of a famous “90 yard” punt (well, as famous as a punt could be) by NY Giants punter Rodney Williams. Get out your stopwatches.
http://www.youtube.com/watch?v=OQKHOMHKT00
Guiding Questions
- How far did the punt travel?
- How fast did the punt travel?
- How high did the punt get?
- Does the fact that the punt was in “Mile High” stadium in Denver have anything to do with this?
Suggested activities
- Students sketch their basic anticipated path of the football. Something like this.
“Say that looks a lot like a parabola! Great job, students. You drew a parabola! What? You don’t know what a parabola is? Well, you just drew one….”
- I hope the students had their stopwatch out. If not, they may have to see it again.
Or, for those without a stop-watch…
(side note: if you can find a better, less grainy video that would be fantastic. Sometimes they even put the hang-time right there on the screen in tenths of the second. That’s awesome.)
Looks like it had a hang time of 5 seconds. So, let’s try to answer some of the above questions.
Solutions
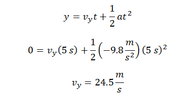
Even though the punt takes place way up in Denver, I’m going to assume that gravity is pretty much the same at sea level. So the acceleration due to gravity is -9.8 m/s2.
So in the vertical it takes 5 second to go from the punter’s foot (which we’ll assume is a lot like the ground) to the ground at the ~16 yard line.
So the ball’s initial velocity in the vertical direction was about 24.5 m/s. If we move things around a bit, we can find the top of the ball’s trajectory (i.e. the height it reached). At the height of the ball’s trajectory t=2.5, so we have the following:
So at the height of the ball’s path, it made it to almost 31 meters. Let’s do a quick diagram-recap.
Another thing we could do to this is use Geogebra to recreate the punt, here. (note: this worksheet represents the first minute-and-a-half I used Geogebra. It could be a lot better.)





