Artifact.
This shocked me.
The Mavs have a 2-16 record in playoff games officiated by Crawford, including 16 losses in the last 17 games. Dallas is 48-41 in the rest of their playoff games during the ownership tenure of Mark Cuban, who has been fined millions of dollars in the last 11 years for publicly complaining about officiating.
First of all, is that right? That A) the Dallas Mavericks perform so poorly in Crawford-officiated games, and B) Crawford is still being allowed to referee them? Really? Wow.
And there’s this, which might even be more damming: The Mavs are 4-14 against the Vegas spread. ESPN provides a nice chart of the individual games.
I specifically remember those 2006 Finals games against Miami. By many accounts, those were two of the worst officiated games in NBA history, in which Heat guard Dwyane Wade got what seemed to be every favorable foul call. It pretty much ushered in the era of NBA ref scrutiny.
This has to be tested for statistical significance.
Guiding Questions
- Really?
- Is this just coincidence or is there something else going on here?
- Does Crawford have a vendetta against the Mavericks for some reason?
- Does Crawford have a suspicious record with any other team?
- Is there a potential way, other than referee malfeasance, that we could explain away this alleged disparity?
- Maybe the Mavericks are just playoff chokers?
Suggested activities
- Obviously if this were a statistics course you could look at statistical significance, which we’ll do in a minute.
- If students are really up for it, they could delve into the games themselves and look for disparities in “referee stuff” like fouls, technicals, travelling, etc. We’re not going to do that in a minute.
- Homework: students watch tonight’s Mavs-Trailblazers game closely and look for anything fishy from Crawford (although, this might serve as its own lesson in confirmation bias).
Potential Solution
Let’s start with our null hypothesis:
H(o): Danny Crawford is NOT biased against the Mavericks. The Mavericks’ playoffs woes in games he’s officiated is due to random chance.
I suppose first we have to figure out what the Mavericks’ Crawford-officiated games “should be.” The Mavericks are 48-41 in playoff games not officiated by Crawford, good for a winning percentage of 54%. Although, if you’re like me, you believe more in random chance for sporting events, and the “true percentage” is probably pretty much 50% over the course of a decade. But that could be a fun debate point in your class.
We also need to decide on a significance/confidence level α, usually 0.05 or 0.01.
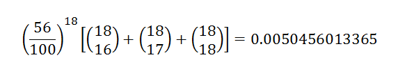
So what is the probability of a team that “should” win 50% of its games (debatable) ending up winning just 2 of 18 games at random? Or rather, that this team should lose 16 (or more) of 18 games by random chance?
A P-Test would could look like this,
Probability of 16 losses + Probability of 17 losses + Probability of 18 losses =
Remember,
So no matter what confidence level we choose, this is, again, pretty damning. If we assign a 50% of the Mavericks winning (less than for their other playoff winning percentage) there is only a six hundredths of a percent chance of this being total flukiness.
Before we go nuts, though, let’s look back at that chart. Now, if you’re not familiar with Vegas lines, the negative sign in front of the “DAL Line” column indicates the Mavericks were favored that game. You’ll note that Dallas was only favored/expected to win 8 of those 18 games, and Vegas is usually pretty dead-on about these sorts of things. If we use that as a “true winning percentage” the Mavericks would only be expected to win a mere 44% (a losing percentage of 56%) of their games, not 50%. Let’s recalculate.
Slightly less suspicious, but still grievously suspicious. It’s well below our 5% or even 1% confidence level.
Still, before I would get Ralph Nader involved, I would ask students, investigators, etc. to look for specific evidence pattern within the games themselves (as 82games.com has done for one specific game). The original ESPN article that led to this investigation suggested Dallas had more fouls and less free throws in Crawford-officiated games than others. A next step would be to look at the beneficiaries of the suspect officiating, i.e. Dallas’ opponents for these games. Did they get an inordinate amount of free throws? Did they tend to overperform, just as Dallas underperformed in these games. Now that we have the statistical basis to be suspicious, we can start the investigation in full.
Couldn’t this work as a real nice Project Based Learning Unit for statistics? The Entry Event could be the ESPN article, or Game 5 of the 2006 NBA Finals. The summative event could be that students could present their findings, host a panel or debate, or write a letter to their congressperson. Or Ralph Nader.



