This is a picture of a single slice of pizza from my favorite pizza place in Fort Collins, Pizza Casbah.
My god that looks amazing. I’m getting hungry just looking at it.
This is a picture of an entire Pizza Casbah, 18-inch pizza (presumably, that means the diameter of the pizza is 18 inches):
It seriously is amazing pizza. And I can eat a lot of it.
A couple weeks ago, a friend and I were ordering a pizza from the online Pizza Casbah menu and we saw this (click to enlarge):
Now, I don’t mean to brag too much, but I really think I can eat anyone under the table when it comes to Pizza Casbah. I’ve never really gone head-to-head, or truly pushed my limits, but I’m fairly confident I can eat an entire 18-inch, 5-topping pizza by myself.
I really want my picture up on their wall-of-fame. I also really want a gift card for more Pizza Casbah.
Guided Questions
So this begs a couple questions:
- If I could find someone of equal “eating prowess” as myself, we could easily win this thing, right? I mean, I can eat an 18-inch pizza by myself. If I can find someone else who can eat an 18-inch pizza, then theoretically we could eat a 36-inch pizza, right?
- How many slices should my friend be able to eat to know that we’re in good shape for the 30-inch pizza challenge?
Suggested activities
- Order me an entire Pizza Casbah pizza and see if I can eat it.
- Maybe some math activities too.
Solutions
This is clearly a bit of a trick that the students may be able to see through: two 18-inch pizzas do NOT equal one 36-inch pizzas. But for whatever reason, my students always had trouble when it game to proportion, percentages and area.
But we teachers know that it doesn’t quite work that way.
Once students realize that
we can start answering the second question: if I can eat an entire 18-inch, how many slices of an 18-inch pizza should my friend be able to eat to assure us a shot at winning this awesome contest in which we have to eat a 30-inch pizza?
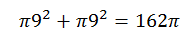
If I can eat an 18-inch (9-inch diameter) pizza, then that only covers
of the pizza and we need
covered. That leaves
for my friend to eat. I’m not even pulling half the load here!
As shown in the second picture from the top, each pizza comes in 8 slices. So if an 18-inch pizza has an area of
, each slice is about
. So my friend would have to be able to eat 15 slices.
Possible Extension (both in terms of mathematical rigor and my waist-size)
Now, all of what I’ve said is true: I can probably eat an entire Pizza Casbah pizza and that’s about it. But to make this a bit more challenging, maybe we could rephrase it, “If I can eat one-and-a-half pizzas, how many slices must my friend be able to eat?” Or “one-and-three-quarters of a pizza.” Then you’re dealing with fractions, proportion, area, and about four other testable standards.
========================================
Here’s the above post as a document.



